This website requires JavaScript.
Explore
Knowledge base
univer-5th-semester
/
algorithm
Code
Actions
Releases
2
Files
4dae59f40579232591c1c700b16b2f3469625b55
algorithm
/
coursework
/
img
/
automat.png
Arity-T
4dae59f405
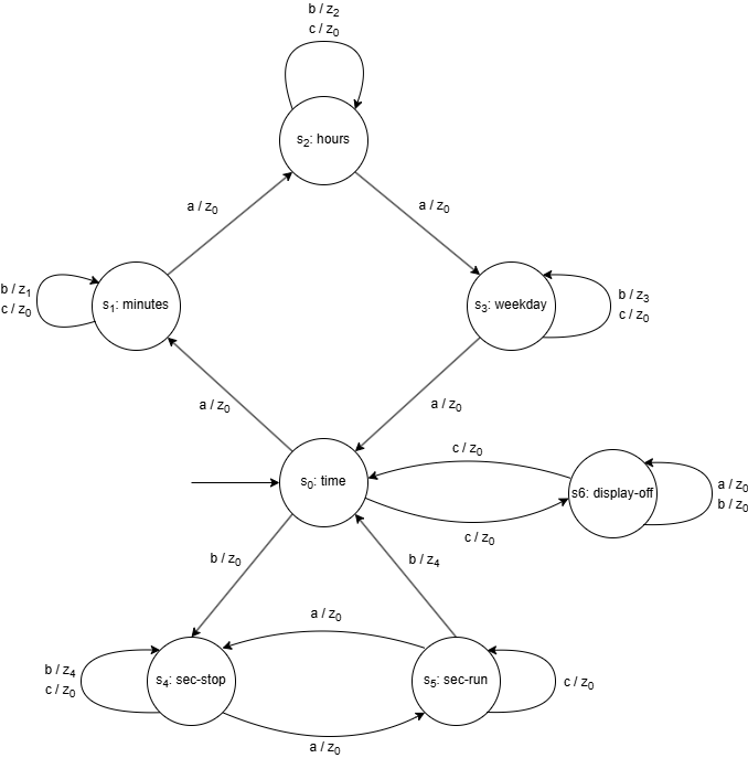
Полностью детерменированный автомат
2025-01-03 14:33:48 +03:00
83 KiB
678x687px
Raw
History